Espanya acull el 42% dels assaigs experimentals a l'aire lliure amb cultius modificats genèticament, segons la informació publicada pel Centre Comú de Recerca de la Comissió Europea (JRC).
Fins ara, no s'havia fet pública la seva localització, tot i els greus riscos que suposen aquests cultius. Ara podem tenir accés a aquesta informació, en virtut del lliure accés a la informació ambiental, ratificat en el cas dels experiments amb transgènics a l'aire lliure per una recent sentència del Tribunal Europeu de Justícia. Podem veure aquesta localització a la figura: alguns d'aquests assaigs es fan a Catalunya.
Els assaigs amb transgènics a l'aire lliure presenten molts riscos, ja que la seva seguretat no ha estat ni tan sols avaluada. Són organismes modificats genèticament, nous éssers vius, dels que gairebé no es té informació, i que s'estan alliberant el medi ambient:
- Poden contaminar altres cultius propers, ja que no hi ha manera de controlar el vent o les abelles, que dispersen el pol•len a grans distàncies.
- Poden deixar restes a terra. Encara que després d'aquests experiments s'exigeix la destrucció de les plantes obtingudes, no hi ha pràcticament control. Documents de la Comissió Nacional de Bioseguretat mostren que sovint les empreses no es comprometen a destruir-les, ni tampoc informen de com es realitza el trasllat de les mostres.
De la majoria dels transgènics no s'han avaluat els seus possibles efectes per a la salut, tant per ingestió com per possibles efectes directes als veïns. D'alguns, amb danys demostrats sobre la salut, s'ha continuat el seu cultiu experimental en gairebé un centenar de parcel•les a Espanya el 2008 (*), i s'ha seguit experimentant els 2009 i 2010.
Durant els últims anys hi ha hagut diverses alertes alimentàries per transgènics experimentals que han contaminat aliments. Un dels casos més greus és el de l'arròs transgènic LL601 de Bayer. L'empresa va experimentar amb aquest arròs entre els anys 1998 i 2001 als EUA Però el 2006, cinc anys després, aquest arròs transgènic, no autoritzat per a consum humà o animal en cap país, va aparèixer en els supermercats de tot el món. Quan Bayer va haver de justificar l'origen d'aquesta contaminació, va al•legar que només podia ser explicat com "un acte de Déu".
Aquest cas ens mostra el greu risc que suposa l'experimentació amb transgènics a l'aire lliure. Un cop s'allibera un transgènic al medi ambient, és impossible de contenir. I a més les multinacionals no tenen cap interès en fer-ho, ja que per exemple, arran d'aquest incident, Bayer va aconseguir l'aprovació del seu arròs en diversos països. Aquesta multinacional està afrontant ara les demandes per danys i perjudicis dels arrossers nord-americans.
Quins són els interessos ocults que fan que Espanya sigui sent un terreny propici per assaigs potencialment perillosos? No serà que ens prenen per conillets d’Indies? I tutti contenti.
(*) 93 municipis han acollit assaigs a l’aire lliure d’un blat de moro transgènic que danya la fertilitat de les rates
A Espanya s'han cultivat només l’any 2008, 98 camps experimentals amb un blat de moro transgènic els danys sobre la salut han estat recentment demostrats. 93 municipis de tot el país han acollit assaigs a l'aire lliure amb aquest transgènic, el que planteja greus riscos de contaminació. A Espanya aquest blat de moro (conegut com NK603 x MON810) ha estat conreat de manera experimental a l'aire lliure des de 2004 per part de les empreses Monsanto, Pioneer i Limagrain Ibèrica, en més de cent camps experimentals de Catalunya, Extremadura, Madrid, Galícia, Navarra , Castella i Lleó, Castella la Manxa, Aragó i Andalusia. Un total acumulat de gairebé mig milió de metres quadrats cultivats amb aquest transgènic durant els últims anys, amb el risc que planteja de contaminació d'altres camps de blat de moro.
dimarts, de febrer 22, 2011
divendres, de febrer 18, 2011
Malgrat 1911 – Notícies diverses
- Subscripció per socórrer les famílies de les víctimes dels temporals
- Inauguració d’un cine, el Cinematógrafo Moderno.
- Celebració de solemnes funcions religioses pels carnavals. No es varen celebrar balls de màscares.
- Contractació de tamborí, flabiol i sac de gemecs per amenitzar les sardanes i els contrapassos
El gran temporal del 31 de gener
El 31 de gener de l’any 1911, un gran temporal de mar va afectar de manera devastadora la costa catalana i valenciana. Concretament fou el 31 de gener de 1911, i va costar la vida a un centenar de pescadors i nombroses destrosses arreu de la franja litoral.
Després de diversos dies seguits de bonança, el dia 31 es va llevar de nou amb el mar encalmat i el cel entre serè i poc ennuvolat, per la qual cosa els pescadors van sortir com cada dia a fer la seva feina. A mig matí, però, una massa nuvolosa molt compacta va començar a endinsar-se des llevant cap a ponent i va fer encendre els llums d’alarma, però la velocitat a la qual el front es desplaçava era massa ràpida per a que les barques que es trobaven mar endins poguessin retornar a la costa.
El vent va començar a bufar fort, primer de gregal i després de llevant i xaloc, la mar es va embravir ràpidament i, segons les cròniques de l’època, les onades varen superar els 8 m d’altura al port de Barcelona. Les conseqüències varen ser desastroses pels pescadors, molts dels quals no van ser capaços de tornar a port i, fins i tot, vaixells de gran tonatge varen naufragar a prop de la costa.
No he trobat detalls de les destrosses que el temporal va fer a Malgrat ni si hi va haver víctimes.
- Inauguració d’un cine, el Cinematógrafo Moderno.
- Celebració de solemnes funcions religioses pels carnavals. No es varen celebrar balls de màscares.
- Contractació de tamborí, flabiol i sac de gemecs per amenitzar les sardanes i els contrapassos
El gran temporal del 31 de gener
El 31 de gener de l’any 1911, un gran temporal de mar va afectar de manera devastadora la costa catalana i valenciana. Concretament fou el 31 de gener de 1911, i va costar la vida a un centenar de pescadors i nombroses destrosses arreu de la franja litoral.
Després de diversos dies seguits de bonança, el dia 31 es va llevar de nou amb el mar encalmat i el cel entre serè i poc ennuvolat, per la qual cosa els pescadors van sortir com cada dia a fer la seva feina. A mig matí, però, una massa nuvolosa molt compacta va començar a endinsar-se des llevant cap a ponent i va fer encendre els llums d’alarma, però la velocitat a la qual el front es desplaçava era massa ràpida per a que les barques que es trobaven mar endins poguessin retornar a la costa.
El vent va començar a bufar fort, primer de gregal i després de llevant i xaloc, la mar es va embravir ràpidament i, segons les cròniques de l’època, les onades varen superar els 8 m d’altura al port de Barcelona. Les conseqüències varen ser desastroses pels pescadors, molts dels quals no van ser capaços de tornar a port i, fins i tot, vaixells de gran tonatge varen naufragar a prop de la costa.
No he trobat detalls de les destrosses que el temporal va fer a Malgrat ni si hi va haver víctimes.
dimarts, de febrer 15, 2011
Cretinisme a Catalunya
Sempre havia pensat que l’únic lloc d’Espanya on hi havia hagut cretinisme a principis del segle XX va ser a les Hurdes, degut a la pobresa d’aquella zona i al seu isolament. I ho creia arran del viatge que el rei Alfons XIII havia fet a aquella comarca l’any 1922, tan ben relatat pel Dr. Marañón. La seva lectura, ja fa molts anys, em va impressionar.Deu fer quaranta anys vaig anar a les Hurdes per primera vegada. Hi vaig anar per comprar carbó vegetal, que produien a bon preu, ja que el senyor Garnica, que més tard va ser president del Banc Espanyol de Crèdit, feia arrencar les alzines per plantar blat. Hi vaig anar per La Alberca, i vaig baixar per una carretera de terra, amb una forta pendent i amb molts giravolts. Encara no entenc que no em matés a aquella baixada, ja que plovia i el cotxe relliscava de mala manera. Però ja se sap que la joventut pot amb tot, o gairebé. Vaig dormir un parell o tres de dies a Pinofanqueado, a casa del senyor Nicomedes Domínguez, home de confiança del mandamàs, ja que no hi havia hotels. Dues coses em van impactar: la claredat del cel nocturn i l’enraonar del senyor Nicomedes i de la seva família, un castellà arcaic però molt agradable d’escoltar. No quedaven rastres d’aquella misèria descrita pel Dr. Marañón, però sí encara del culte al señorito (en aquest cas D. Pablo Garnica).
El cretinisme és una forma de deficiència congènita de la tiroides, el que provoca un retràs del creixement físic i mental. De vegades el cretí té l’estatura d’un nen, encara que sigui gran, té una pronunciació defectuosa i la pell com de cera.
Amb el que jo no comptava era que a Catalunya, al final del XIX i a principis del XX també hi havia almenys una comarca que podríem comparar amb les Hurdes: la Vall de Boí. En efecte, el pintor Isidre Nonell, arran d’una estada a la Vall de Boí l’any 1896 hi va descobrir una comunitat d’individus afectats per una malaltia que provocava greus afectacions mentals i físiques, el cretinisme, que va reflectar en una excepcional sèrie de pintures sobre els cretins, dels que la figura n’és un exemple. Com les Hurdes, la Vall de Boí era una comarca pobre i isolada. Me’n acabo d’assabentar mirant un programa de la tele on parlaven del centenari de la mort del pintor.
Energia nuclear: el sentit comú
Sembla que els diferents partits importants al Congrés has arribat a un acord per poder prolongar la vida de les centrals nuclears més enllà de quaranta anys, sempre i quan el Consell de Seguretat Nuclear dictamini que no hi ha perill si segueixen funcionant. Finalment, sembla que ha imperat el sentit comú. Una cosa és oposar-se a la construcció de noves centrals nuclears, i una altra molt diferent és la de, per motius no sé si ideològics, teològics o dogmàtics, no aprofitar la gran quantitat d’energia barata que aquestes centrals podran, molt probablement, produir, encara que tinguin més de quaranta anys de vida. I una electricitat barata és productivitat, aquesta propietat que tant trobem a faltar.
Sóc dels que pensen que l’energia nuclear no és una qüestió de ser de dretes ni d’esquerres. Per molts, això no és gens evident, i consideren que la gent d’esquerres té com a una de les seves senyes d’identitat l’oposició a l’energia nuclear. El president del govern central era un d’aquests. Però la realitat econòmica fa canviar els més recalcitrants, i això és el que li ha passat al pobre senyor.
Queden deu anys perquè la primera central en faci quaranta. Deu anys, en política i en economia, són una eternitat, però penso que la majoria dels polítics, amb la crisi econòmica que tenim al damunt, hauran après a sumar i a restar, de manera que aquest acord sembla fet per durar almenys fins llavors.
Sóc dels que pensen que l’energia nuclear no és una qüestió de ser de dretes ni d’esquerres. Per molts, això no és gens evident, i consideren que la gent d’esquerres té com a una de les seves senyes d’identitat l’oposició a l’energia nuclear. El president del govern central era un d’aquests. Però la realitat econòmica fa canviar els més recalcitrants, i això és el que li ha passat al pobre senyor.
Queden deu anys perquè la primera central en faci quaranta. Deu anys, en política i en economia, són una eternitat, però penso que la majoria dels polítics, amb la crisi econòmica que tenim al damunt, hauran après a sumar i a restar, de manera que aquest acord sembla fet per durar almenys fins llavors.
dissabte, de febrer 12, 2011
Gasolina o petroli?
Ara que hi ha hagut un episodi anticiclònic llarg, hem pogut veure com les principals ciutats lluïen una boina groguenca, fruit de la contaminació ambiental, produïda majoritàriament per la circulació de vehicles a motor. Ni els vehicles de gasolina ni els dièsel són especialment respectuosos del medi ambient. Però hi ha hagut un impuls creixent per promoure l'ús dels vehicles dièsel com el motor menys perjudicial, ja que té unes emissions de CO2 més petites. Això té la seva lògica, ja que el CO2 és un dels gasos d'efecte hivernacle que impulsen el canvi climàtic.
Però si tenim en compte els resultats relatius a la qualitat de l'aire local no queda tant clar que els motors diesel contaminin menys que els de gasolina. La qualitat de l'aire en moltes ciutats, no és deguda al CO2, que és un gas transparent, sinó a altres contaminants, més perillosos que el CO2 si ens referim a la salut dels que els respiren.
Si prenem una mitjana de tots els vehicles de gasolina i tots els cotxes dièsel a la venda avui el cotxe de benzina produeix una mitjana de 215 g/km de CO2, mentre que el dièsel produeix una mitjana de només 170 g/km de CO2.
Però dins de cada classe, les diferències són sovint molt menys clares, com és el cas dels vehicles de la gasolina i dièsel disponibles amb nivells d’emissió de CO2 més baixos:
Diesel - Citroen C1 1,4HDi/Toyota Aygo 1,4 D-4D → 109 g /km de CO2
Gasolina - Peugeot 107 1,0/Toyota Aygo 1,0 VVT-i/Citroen C1 1,0i → 109 g /km de CO2
Veiem que no hi ha diferència en les emissions de CO2, però les altres emissions són molt diferents:
Tot i utilitzar un modern motor dièsel molt net, els dièsel produeixen 24 vegades més òxids de nitrogen que les versions de gasolina, i produeix partícules, cosa que la gasolina no fa. En canvi, els motors de gasolina produeixen el doble de monòxid de carboni que els diesel.
Un cotxe híbrid té encara més avantatges, com podem veure en la comparació següent, on els cotxes híbrids, tot i tenir una potència superior a la desa de gasolina o diesel, emeten el mateix CO2, els mateixos òxids de nitrogen i de partícules en suspensió que els de gasolina, i el mateix monòxid de carboni que els Diesel:
Es a dir, que un motor diesel produeix 24 veces més òxids de nitrogen que un motor de gasolina, que gairebé no n’emet gens, i partícules en suspensió, que tampoc emet un motor de gasolina. Però els impostos afavoreixen el diesel, i la publicitat només parla de les emissions de CO2, impulsant la compra dels cotxes amb motor diesel. Ens inciten a salvar el planeta, però en canvi ens fan córrer el risc d’ofegar-nos quan anem a Barcelona una temporada sense vent ni pluja.
Podem concloure que és important ser conscients de que hem de trobar un equilibri entre la lluita contra l'escalfament global i els problemes locals de qualitat de l'aire.
Nota
Anomenem òxids de nitrogen un grup de compostos químics gasosos molt reactius (també es fa servir la forma abreviada NOx). Els més importants són l’òxid nítric (NO) i l’òxid nitrós (NO2).
Tenen efectes nocius sobre la respiració i el sistema respiratori. Exposicions prolongades al NO2 poden disminuir els nivells de la funció pulmonar I augmenten el risc de patir símptomes respiratoris, especialment en persones asmàtiques i nens, que són més vulnerables al tenir una freqüència respiratòria més gran que la dels adults.
En determinades condicions ambientals tenen un efecte indirecte sobre la salut, ja que contribueixen a formar partícules d’origen fotoquímic. Aquestes partícules, sobretot les més fines, poden provocar malalties respiratòries i cardiovasculars. Quan hi ha contaminació fotoquímica (com és el cas del smog) es poden provocar efectes immediats sobre el sistema respiratori de moltes persones sensibles.
La Directiva Europea 1990/30/CE, transposada a Espanya pel Real Decret 1073/2002, fixa, a partir de l’any 2010, les concentracions màximes de NO2:
Valor límit horari (període d’una hora) = 200 μg/metre cúbic. Aquest valor límit es podrà sobrepassar 18 vegades l’any com a màxim.
Valor límit anual (període d’un any) = 40 μg/metre cúbic
Però si tenim en compte els resultats relatius a la qualitat de l'aire local no queda tant clar que els motors diesel contaminin menys que els de gasolina. La qualitat de l'aire en moltes ciutats, no és deguda al CO2, que és un gas transparent, sinó a altres contaminants, més perillosos que el CO2 si ens referim a la salut dels que els respiren.
Si prenem una mitjana de tots els vehicles de gasolina i tots els cotxes dièsel a la venda avui el cotxe de benzina produeix una mitjana de 215 g/km de CO2, mentre que el dièsel produeix una mitjana de només 170 g/km de CO2.
Però dins de cada classe, les diferències són sovint molt menys clares, com és el cas dels vehicles de la gasolina i dièsel disponibles amb nivells d’emissió de CO2 més baixos:
Diesel - Citroen C1 1,4HDi/Toyota Aygo 1,4 D-4D → 109 g /km de CO2
Gasolina - Peugeot 107 1,0/Toyota Aygo 1,0 VVT-i/Citroen C1 1,0i → 109 g /km de CO2
Veiem que no hi ha diferència en les emissions de CO2, però les altres emissions són molt diferents:
Tot i utilitzar un modern motor dièsel molt net, els dièsel produeixen 24 vegades més òxids de nitrogen que les versions de gasolina, i produeix partícules, cosa que la gasolina no fa. En canvi, els motors de gasolina produeixen el doble de monòxid de carboni que els diesel.
Un cotxe híbrid té encara més avantatges, com podem veure en la comparació següent, on els cotxes híbrids, tot i tenir una potència superior a la desa de gasolina o diesel, emeten el mateix CO2, els mateixos òxids de nitrogen i de partícules en suspensió que els de gasolina, i el mateix monòxid de carboni que els Diesel:
Es a dir, que un motor diesel produeix 24 veces més òxids de nitrogen que un motor de gasolina, que gairebé no n’emet gens, i partícules en suspensió, que tampoc emet un motor de gasolina. Però els impostos afavoreixen el diesel, i la publicitat només parla de les emissions de CO2, impulsant la compra dels cotxes amb motor diesel. Ens inciten a salvar el planeta, però en canvi ens fan córrer el risc d’ofegar-nos quan anem a Barcelona una temporada sense vent ni pluja.
Podem concloure que és important ser conscients de que hem de trobar un equilibri entre la lluita contra l'escalfament global i els problemes locals de qualitat de l'aire.
Nota
Anomenem òxids de nitrogen un grup de compostos químics gasosos molt reactius (també es fa servir la forma abreviada NOx). Els més importants són l’òxid nítric (NO) i l’òxid nitrós (NO2).
Tenen efectes nocius sobre la respiració i el sistema respiratori. Exposicions prolongades al NO2 poden disminuir els nivells de la funció pulmonar I augmenten el risc de patir símptomes respiratoris, especialment en persones asmàtiques i nens, que són més vulnerables al tenir una freqüència respiratòria més gran que la dels adults.
En determinades condicions ambientals tenen un efecte indirecte sobre la salut, ja que contribueixen a formar partícules d’origen fotoquímic. Aquestes partícules, sobretot les més fines, poden provocar malalties respiratòries i cardiovasculars. Quan hi ha contaminació fotoquímica (com és el cas del smog) es poden provocar efectes immediats sobre el sistema respiratori de moltes persones sensibles.
La Directiva Europea 1990/30/CE, transposada a Espanya pel Real Decret 1073/2002, fixa, a partir de l’any 2010, les concentracions màximes de NO2:
Valor límit horari (període d’una hora) = 200 μg/metre cúbic. Aquest valor límit es podrà sobrepassar 18 vegades l’any com a màxim.
Valor límit anual (període d’un any) = 40 μg/metre cúbic
divendres, de febrer 11, 2011
El model de poble
Es nota que d’aquí a cent dies hi haurà eleccions municipals. Uns i altres es mouen, parlen, escriuen. Esperem que aviat ens presentin els seus programes electorals per governar un poble en període de crisi. El que jo espero és que, en aquest programa electoral, ens presentin el model de poble que tenen al cap.
Què és un model de poble? Ni més ni menys que la presentació de com voldrien que fos l’evolució del poble. Aquesta evolució té diferents aspectes. Un d’ells és l’aspecte urbanístic. Volem un poble amb 25.000 habitants, completament enformigonat i amb una densitat de construcció aclaparant, o bé volem un poble que ja no creixi més, i apostem per una remodelació dels espais creant petits espais verds allà on es pugui? Coneixem l’opció de l’equip que governa actualment, però no coneixem encara l’opció dels altres candidats.
Un altre aspecte és l’econòmic. Des de l’ajuntament es pot influir en l’economia del poble, intentant que s’instal•lin empreses al municipi, buscant-les i creant les condicions per fer atractiva aquesta instal•lació. L’equip de govern actual no ha treballat massa aquesta qüestió. Ho faran els candidats? I com?
El turisme és també un factor econòmic important. Es pot fer la destinació Malgrat més atractiva? Quines són les propostes de cadascú? Estan d’acord els candidats amb la creació de la societat mixta que s’ha creat?
Actualment el comerç està en plena crisi, i no només per la crisi econòmica general. No és gens evident que la “peatonalització” del centre no hi hagi contribuït. Es urgent que des de l’ajuntament s’estudiï el problema del comerç si no volem acabar sent un poble dormitori (cosa que Malgrat és cada dia més).
Darrerament s’han fet moltes obres, però l’aspecte general del poble és clarament millorable: falta de manteniment i pintades aquí i allà. Quina és la proposta per millorar aquests aspectes, que farien un poble més atractiu i més agradable per viure-hi?
També tenim el problema de la circulació. Malgrat, com la majoria de pobles, no està fet pel tràfic automòbil. Però el que sembla evident és que la solució que s’ha donat a aquest problema no és prou bona. Quines són les propostes dels uns i dels altres, si és que en tenen?
I podríem anar seguint, ja que un model de poble té molts aspectes diferents. Esperem que, aquesta vegada, puguem triar entre diferents models de poble, que siguin clarament explicats per cada candidat.
Què és un model de poble? Ni més ni menys que la presentació de com voldrien que fos l’evolució del poble. Aquesta evolució té diferents aspectes. Un d’ells és l’aspecte urbanístic. Volem un poble amb 25.000 habitants, completament enformigonat i amb una densitat de construcció aclaparant, o bé volem un poble que ja no creixi més, i apostem per una remodelació dels espais creant petits espais verds allà on es pugui? Coneixem l’opció de l’equip que governa actualment, però no coneixem encara l’opció dels altres candidats.
Un altre aspecte és l’econòmic. Des de l’ajuntament es pot influir en l’economia del poble, intentant que s’instal•lin empreses al municipi, buscant-les i creant les condicions per fer atractiva aquesta instal•lació. L’equip de govern actual no ha treballat massa aquesta qüestió. Ho faran els candidats? I com?
El turisme és també un factor econòmic important. Es pot fer la destinació Malgrat més atractiva? Quines són les propostes de cadascú? Estan d’acord els candidats amb la creació de la societat mixta que s’ha creat?
Actualment el comerç està en plena crisi, i no només per la crisi econòmica general. No és gens evident que la “peatonalització” del centre no hi hagi contribuït. Es urgent que des de l’ajuntament s’estudiï el problema del comerç si no volem acabar sent un poble dormitori (cosa que Malgrat és cada dia més).
Darrerament s’han fet moltes obres, però l’aspecte general del poble és clarament millorable: falta de manteniment i pintades aquí i allà. Quina és la proposta per millorar aquests aspectes, que farien un poble més atractiu i més agradable per viure-hi?
També tenim el problema de la circulació. Malgrat, com la majoria de pobles, no està fet pel tràfic automòbil. Però el que sembla evident és que la solució que s’ha donat a aquest problema no és prou bona. Quines són les propostes dels uns i dels altres, si és que en tenen?
I podríem anar seguint, ja que un model de poble té molts aspectes diferents. Esperem que, aquesta vegada, puguem triar entre diferents models de poble, que siguin clarament explicats per cada candidat.
dilluns, de febrer 07, 2011
Egipte, Tunísia i el canvi climàtic
Els últims mesos venim assistint a una pujada constant dels preus dels cereals. Blat de moro, arròs, blat ... tots en constant ascens. Si a la crisi alimentària del 2007 una bona part de la culpa va ser deguda a l'especulació i als biocombustibles, en aquesta nova crisi tota aquesta pujada es deguda a factors de producció, ja que des de fa mesos els principals productors van anunciar retallades de la producció pels problemes climatològics sorgits en èpoques clau de la producció.
Per alguns, la causa de les revolucions de Tunísia i d'Egipte ha estat aquest augment del preu dels aliments, que aquest hivern ha superat un nivell que ha desbordat la tradicional solidaritat familiar de la cultura àrab, per cert la única xarxa de seguretat d'aquests països.
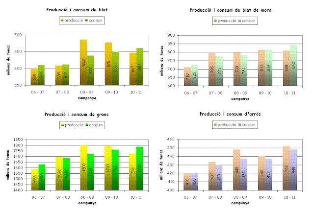
En els gràfics es pot veure que els preus dels aliments (que publica cada mes la FAO), un cop descomptada l’inflació, havies estat relativament estables des de l’any 1991 (quan va començar aquesta estadística) fins els anys 2007 – 2008 (primera crisi alimentària) i tornen a augmentar els anys 2010 – 2011 (segona crisi alimentària)
Durant l'anterior crisi alimentària, els anys 2007-2008, es van ajuntar diferents factors que van originar una crisi d'enorme importància. D'una banda es van ajuntar collites deficitàries per sequeres i inundacions, un augment de la demanda dels països asiàtics, un augment del preu del petroli i dels fertilitzants, una forta especulació, i l'augment de la dedicació de la producció del blat de moro per als biocombustibles.
En canvi, a la crisi actual, el preu del petroli no ha arribat al nivell de l’any 2008, els augments de preu han anat majoritàriament als països productors (per ara hi ha hagut poca especulació), i els productors de biocombustibles han gairebé abandonat la producció a partir de productes alimentaris (massa cars i poc rendibles). Queden, doncs, com causes principals de l’actual augment dels preus les collites deficitàries per sequeres i inundacions, un augment de la demanda dels països asiàtics
Climatològicament parlant, l'any passat ha estat molt dolent, amb el seu corresponent impacte sobre les collites. Els incendis de Rússia es van carregar al voltant del 40% de la collita de blat (passant de 62 milions de tones les dues darreres campanyes a només 45). Hi ha hagut sequeres desacostumades a Ucraïna i Argentina, proveïdor mundial de soja. Precipitacions fora del que és normal han destrossat la collita de blat del Canadà. Les inundacions al Pakistan han afectat també als cereals i el sucre. I a Austràlia, on el que és considerat el major desastre natural de la seva història ha fet malbé bona part de la seva collita de blat (no ha baixat massa la producció, però hi ha molt blat de qualitat defectuosa). I Egipte és el primer importador mundial de blat.
En el gràfic podem veure com el consum anual de grans va augmentant any rere any, i que, amb l’excepció de l’arròs, tant la producció de blat com la de blat de moro han sigut deficitàries a la darrera campanya.
Tots aquests desastres, que per ara seguim anomenant naturals, estan passant amb un increment de la temperatura mitjana de la Terra de poc menys d’un grau. Les preguntes que ens podem fer són:
- Aquests desastres han augmentat amb l’augment de la temperatura o han sigut normals des de sempre?
- Si han augmentat amb la temperatura, què passarà si la temperatura segueix augmentant?
Es difícil de dir, però a primera vista, i a l’espera d’estudis estadístics fiables, sembla que la freqüència dels desastres climatològics estigui augmentant. Si es demostra que és així, les revoltes de Tunísia i d’Egipte serien les primeres conseqüències polítiques importants del canvi climàtic.
Índex de preus FAO
Dades sobre produccions i consums
Per alguns, la causa de les revolucions de Tunísia i d'Egipte ha estat aquest augment del preu dels aliments, que aquest hivern ha superat un nivell que ha desbordat la tradicional solidaritat familiar de la cultura àrab, per cert la única xarxa de seguretat d'aquests països.
En els gràfics es pot veure que els preus dels aliments (que publica cada mes la FAO), un cop descomptada l’inflació, havies estat relativament estables des de l’any 1991 (quan va començar aquesta estadística) fins els anys 2007 – 2008 (primera crisi alimentària) i tornen a augmentar els anys 2010 – 2011 (segona crisi alimentària)
Durant l'anterior crisi alimentària, els anys 2007-2008, es van ajuntar diferents factors que van originar una crisi d'enorme importància. D'una banda es van ajuntar collites deficitàries per sequeres i inundacions, un augment de la demanda dels països asiàtics, un augment del preu del petroli i dels fertilitzants, una forta especulació, i l'augment de la dedicació de la producció del blat de moro per als biocombustibles.
En canvi, a la crisi actual, el preu del petroli no ha arribat al nivell de l’any 2008, els augments de preu han anat majoritàriament als països productors (per ara hi ha hagut poca especulació), i els productors de biocombustibles han gairebé abandonat la producció a partir de productes alimentaris (massa cars i poc rendibles). Queden, doncs, com causes principals de l’actual augment dels preus les collites deficitàries per sequeres i inundacions, un augment de la demanda dels països asiàtics
Climatològicament parlant, l'any passat ha estat molt dolent, amb el seu corresponent impacte sobre les collites. Els incendis de Rússia es van carregar al voltant del 40% de la collita de blat (passant de 62 milions de tones les dues darreres campanyes a només 45). Hi ha hagut sequeres desacostumades a Ucraïna i Argentina, proveïdor mundial de soja. Precipitacions fora del que és normal han destrossat la collita de blat del Canadà. Les inundacions al Pakistan han afectat també als cereals i el sucre. I a Austràlia, on el que és considerat el major desastre natural de la seva història ha fet malbé bona part de la seva collita de blat (no ha baixat massa la producció, però hi ha molt blat de qualitat defectuosa). I Egipte és el primer importador mundial de blat.
En el gràfic podem veure com el consum anual de grans va augmentant any rere any, i que, amb l’excepció de l’arròs, tant la producció de blat com la de blat de moro han sigut deficitàries a la darrera campanya.
Tots aquests desastres, que per ara seguim anomenant naturals, estan passant amb un increment de la temperatura mitjana de la Terra de poc menys d’un grau. Les preguntes que ens podem fer són:
- Aquests desastres han augmentat amb l’augment de la temperatura o han sigut normals des de sempre?
- Si han augmentat amb la temperatura, què passarà si la temperatura segueix augmentant?
Es difícil de dir, però a primera vista, i a l’espera d’estudis estadístics fiables, sembla que la freqüència dels desastres climatològics estigui augmentant. Si es demostra que és així, les revoltes de Tunísia i d’Egipte serien les primeres conseqüències polítiques importants del canvi climàtic.
Índex de preus FAO
Dades sobre produccions i consums
dissabte, de febrer 05, 2011
Gas no convencional a Catalunya
El desenvolupament espectacular de gas no convencional als Estats Units, ha portat a aquest país a reemplaçar Rússia com el primer productor de gas del món de l'any 2009. Això podria passar també a Europa? En teoria, sí: les reserves hi són. De moment, però, hi ha factors que frenen el desenvolupament de gas no convencional a Europa: la densitat de població relativament alta, la manca de coneixements tècnics i d'una indústria de serveis amb experiència, uns costos d'exploració i de producció possiblement massa elevats, i les incerteses del marc regulador i de política del medi ambient. Com a resultat, els experts només esperen un creixement marginal de gas no convencional a Europa en la pròxima dècada. Però, a partir del 2020, Europa pot arribar a experimentar la seva pròpia revolució de gas no convencional.
Molts dels pesos pesats de la indústria de gas no convencional es van reunir a Amsterdam el passat mes de juny per discutir el futur del gas no convencional a Europa. Aquest gas no convencional s’anomena “shale gas” o gas de pissarra o d’esquist (aquest nom es dóna per extensió, però hi ha altres tipus de gas no convencional, que es detallen al final). L’explotació d’aquests jaciments als Estat Units ha donat resultats espectaculars: no només és el primer productor mundial, sinó que compta amb reserves de més de 100 anys. Com que disposaven de la tecnologia adequada, el preu d’aquest gas els és més econòmic que el del gas d’importació.
A Europa no sembla pas que hi hagi manca de recursos de gas no convencional. Tant la Comissió Europea com l'Agència Internacional d'Energia estimen el total de les reserves recuperables a Europa entre 33 i 38 bilions de metres cúbics, dels quals 12 són de “tight gas”, 15 de “shale gas” i 8 de “coalbed methane gas”. Es tracta d'una quantitat important, en teoria suficient per satisfer la demanda europea durant 60 anys.
Encara que Polònia i els Estats Bàltics semblen ser les regions més prometedores, a gairebé pertot arreu d'Europa hi ha perspectives de desenvolupament de gas no convencional, entre les que s’hi troba una bona part de Catalunya. En altres paraules, molts països europeus tenen l'oportunitat d'augmentar significativament la seva producció nacional de gas. Cosa que pot canviar radicalment la visió del nostre futur econòmic.
El "Tight Gas", és un gas natural entrampat en sorres gresoses de baixa porositat i en dipòsits carbonatats.
El "Shale Gas" és un gas natural que es troba en dipòsits d’esquist o de pissarra de baixa permeabilitat.
El "Coalbed Methane Gas" és un gas natural produït a l'activitat d'extracció de carbó.
Article a European Energy Review
Molts dels pesos pesats de la indústria de gas no convencional es van reunir a Amsterdam el passat mes de juny per discutir el futur del gas no convencional a Europa. Aquest gas no convencional s’anomena “shale gas” o gas de pissarra o d’esquist (aquest nom es dóna per extensió, però hi ha altres tipus de gas no convencional, que es detallen al final). L’explotació d’aquests jaciments als Estat Units ha donat resultats espectaculars: no només és el primer productor mundial, sinó que compta amb reserves de més de 100 anys. Com que disposaven de la tecnologia adequada, el preu d’aquest gas els és més econòmic que el del gas d’importació.
A Europa no sembla pas que hi hagi manca de recursos de gas no convencional. Tant la Comissió Europea com l'Agència Internacional d'Energia estimen el total de les reserves recuperables a Europa entre 33 i 38 bilions de metres cúbics, dels quals 12 són de “tight gas”, 15 de “shale gas” i 8 de “coalbed methane gas”. Es tracta d'una quantitat important, en teoria suficient per satisfer la demanda europea durant 60 anys.
Encara que Polònia i els Estats Bàltics semblen ser les regions més prometedores, a gairebé pertot arreu d'Europa hi ha perspectives de desenvolupament de gas no convencional, entre les que s’hi troba una bona part de Catalunya. En altres paraules, molts països europeus tenen l'oportunitat d'augmentar significativament la seva producció nacional de gas. Cosa que pot canviar radicalment la visió del nostre futur econòmic.
El "Tight Gas", és un gas natural entrampat en sorres gresoses de baixa porositat i en dipòsits carbonatats.
El "Shale Gas" és un gas natural que es troba en dipòsits d’esquist o de pissarra de baixa permeabilitat.
El "Coalbed Methane Gas" és un gas natural produït a l'activitat d'extracció de carbó.
Article a European Energy Review
divendres, de febrer 04, 2011
L’augment sense fi de les despeses sanitàries
A França li diuen “le trou de la Sécu”, o el forat de la Seguretat Social, augmenta cada any, i el van tapant, més malament que ve, posant nous impostos al personal i als beneficis financers. A Catalunya, el pressupost de despeses sanitàries també té la mateixa tendència, i augmenta any rere any. Des de l’any 1991, en que el pressupost era de 2.277 milions d’euros, fins a l’any 2010, on el pressupost va ser de 9.548 milions d’euros, el pressupost s’ha multiplicat per més de quatre.
Però aquestes xifres brutes no volen pas dir gran cosa. Les hem de corregir amb la inflació i amb el número d’habitants de Catalunya. La inflació de l’any 2010, respecte de l’any 1991, va ser del 74 %, i el nombre d’habitants va passar dels 6,06 milions de l’any 1991, als 7,51 de l’any 2010. El que ens dóna unes despeses per habitant, en euros constants, de 655 € l’any 1991 i de 1.271 l’any 2010. Gairebé el doble, i segueixen augmentant.
Aquest augment anual en euros constants per habitant va ser en promig de 23 € per any durant 11 anys (del 1991 al 2002) i s’ha accelerat a 45 € des del 2002 fins al 2010.
Probablement sigui aquesta l’amenaça més important que té el que anomenem estat del benestar. Els comptes són els que són, i s’haurà de fer el que sigui necessari per no augmentar aquestes despeses. Serà complicat, ja que la tendència a l’augment és general per tot arreu: la gent és cada cop més exigent amb la salut, i els nous aparells d’anàlisi i de diagnosi són cada vegada més cars. Amb unes despeses sanitàries que representen, l’any 2010, prop del 40 % del pressupost de la Generalitat, si continuen creixent com ho han fet els darrers anys, correm el risc d’una suspensió de pagaments de la institució.
O bé aquestes despeses es poden controlar, o bé s’hauran d’augmentar els ingressos. O amb el copagament o amb un augment dels impostos.
Es clar que hi haurà qui dirà que si l’espoli fiscal fos com l’alemany, podríem anar tirant de la rifeta uns quants anys més. Però, per ara, això no deixa de ser una utopia. I amb utopies no resoldrem el problema.
Però aquestes xifres brutes no volen pas dir gran cosa. Les hem de corregir amb la inflació i amb el número d’habitants de Catalunya. La inflació de l’any 2010, respecte de l’any 1991, va ser del 74 %, i el nombre d’habitants va passar dels 6,06 milions de l’any 1991, als 7,51 de l’any 2010. El que ens dóna unes despeses per habitant, en euros constants, de 655 € l’any 1991 i de 1.271 l’any 2010. Gairebé el doble, i segueixen augmentant.
Aquest augment anual en euros constants per habitant va ser en promig de 23 € per any durant 11 anys (del 1991 al 2002) i s’ha accelerat a 45 € des del 2002 fins al 2010.
Probablement sigui aquesta l’amenaça més important que té el que anomenem estat del benestar. Els comptes són els que són, i s’haurà de fer el que sigui necessari per no augmentar aquestes despeses. Serà complicat, ja que la tendència a l’augment és general per tot arreu: la gent és cada cop més exigent amb la salut, i els nous aparells d’anàlisi i de diagnosi són cada vegada més cars. Amb unes despeses sanitàries que representen, l’any 2010, prop del 40 % del pressupost de la Generalitat, si continuen creixent com ho han fet els darrers anys, correm el risc d’una suspensió de pagaments de la institució.
O bé aquestes despeses es poden controlar, o bé s’hauran d’augmentar els ingressos. O amb el copagament o amb un augment dels impostos.
Es clar que hi haurà qui dirà que si l’espoli fiscal fos com l’alemany, podríem anar tirant de la rifeta uns quants anys més. Però, per ara, això no deixa de ser una utopia. I amb utopies no resoldrem el problema.
dimarts, de febrer 01, 2011
Malgrat 1911 – Neix una revista
A la Vanguardia del dilluns 30 de gener del 1911 es dóna la notícia de l’aparició d’una nova revista, de nom Sindical, òrgan dels sindicats agrícoles de Lloret, Blanes i Malgrat.
Si ara vivim una crisi, fa cent anys es vivia la crisi del suro, que era un dels temes tractats en el primer número de Sindical.
Subscriure's a:
Comentaris (Atom)

















